Isc Class 11 English Language Sample Papers Solved 2019

Previous Year English Language Question Paper For Isc Class 12 Board 2019

Previous Year English Language Question Paper For Isc Class 12 Board 2019

Download Isc Specimen Papers 2019 Solved For Class 12 And Marking Scheme Pdf Here We Have Given Specimen Pap Sample Paper Sample Question Paper Question Paper

Download Isc Specimen Papers 2019 Solved For Class 12 And Marking Scheme Pdf Here We Have Given Specimen Pap Sample Paper Sample Question Paper Question Paper

Isc Class 11 Specimen Paper 2020 English Literature Paper 2 Sample Paper Aglasem Schools

Isc Class 11 Specimen Paper 2020 English Literature Paper 2 Sample Paper Aglasem Schools

Cbse Sample Paper For Class 11 English Solved Set B Aglasem Schools

Cbse Sample Paper For Class 11 English Solved Set B Aglasem Schools

Class 11th English Solved Sample Paper 2019 Youtube

Class 11th English Solved Sample Paper 2019 Youtube

Isc Class 11 Specimen Paper 2020 Accounts Sample Paper Aglasem Schools

Isc Class 11 Specimen Paper 2020 Accounts Sample Paper Aglasem Schools

Isc Class 11 Specimen Paper 2020 Accounts Sample Paper Aglasem Schools

Over 2 600 schools in india and abroad are affiliated to the cisce.

Isc class 11 english language sample papers solved 2019. These isc board sample papers or model papers are useful to understand the pattern of questions asked in the board exam. Isc class 11 specimen papers for 2019 and 2020 are available. Isc class 11 english language sample papers solved.

Here student can view download the pdf format of the latest specimen continue reading. Download isc class 11 specimen paper 2019 2020. Students can view or download the isc sample question papers 2019 solved for their class 11 upcoming examination.

Download isc specimen papers 2020 solved for class 11 english language and marking scheme pdf. It was established in 1958. Here we have given specimen papers for isc 2019 with answers for class 11.

Download isc specimen papers 2019 solved for class 11 and marking scheme pdf. These isc board sample papers are useful to understand the pattern of questions asked in the board. Isc class xi isc grade 11 isc papers isc sample papers isc books portal for isc india isc question bank indian certificate of secondary education isc question papers with answers isc model test papers solved past board question papers of isc last year previous years solved question papers free online isc solved question paper isc syllabus india isc board sample questions.

Therefore these isc class 11 specimen previous question papers will help a lot in the preparation process.

Oswaal Isc Sample Questionpaper Class11 English Paper1 Language Book Reduced Syllabus For 2021 Exam In 2020 Sample Question Paper Question Paper This Or That Questions

Oswaal Isc Sample Questionpaper Class11 English Paper1 Language Book Reduced Syllabus For 2021 Exam In 2020 Sample Question Paper Question Paper This Or That Questions

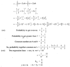
Isc Maths Question Paper 2019 Solved For Class 12 A Plus Topper Question Paper Math Questions Class 12 Maths

Isc Maths Question Paper 2019 Solved For Class 12 A Plus Topper Question Paper Math Questions Class 12 Maths

Isc Class 11 Model Paper 2020 Solved Maths Sample Paper Isc Hub

Isc Class 11 Model Paper 2020 Solved Maths Sample Paper Isc Hub

Icse Sample Papers For Class 9 English Paper 1 2019 2020

Icse Sample Papers For Class 9 English Paper 1 2019 2020

Cbse Sample Papers 2021 For Class 12 History Aglasem Schools

Cbse Sample Papers 2021 For Class 12 History Aglasem Schools

Isc Maths Question Paper 2010 Solved For Class 12 A Plus Topper Question Paper Math Questions This Or That Questions

Isc Maths Question Paper 2010 Solved For Class 12 A Plus Topper Question Paper Math Questions This Or That Questions

Economics Sample Paper Class 12 2020 Full Solution Youtube

Economics Sample Paper Class 12 2020 Full Solution Youtube

Icse 2020 Mathematics Specimen Question Paper Solved Class 10 Youtube

Icse 2020 Mathematics Specimen Question Paper Solved Class 10 Youtube

Exam18 Icse Solved Sample Papers Maths Class 10 Further Reduced Syllabus For 2021 Exam Exam18

Exam18 Icse Solved Sample Papers Maths Class 10 Further Reduced Syllabus For 2021 Exam Exam18

Isc Specimen Papers 2020 Solved For Class 11 Isc Sample Papers

Isc Specimen Papers 2020 Solved For Class 11 Isc Sample Papers

Previous Year Physics Question Paper For Isc Class 12 Board 2019

Previous Year Physics Question Paper For Isc Class 12 Board 2019

Isc Class 12 Sample Paper 2020 English Language Paper 1 Specimen Question Paper Aglasem Schools

Isc Class 12 Sample Paper 2020 English Language Paper 1 Specimen Question Paper Aglasem Schools

Cbse Class 10 Science Previous Year Question Paper 2018 Download Now

Cbse Class 10 Science Previous Year Question Paper 2018 Download Now

Isc Class 12 Sample Paper 2020 Mathematics Specimen Question Paper Aglasem Schools

Isc Class 12 Sample Paper 2020 Mathematics Specimen Question Paper Aglasem Schools

Source : pinterest.com