Sample Actuary Exam P Questions

Exam P Practice Question 39 Actuary

Exam P Practice Question 39 Actuary

Society Of Actuaries Casualty Actuarial Society Exam P Probability Exam P Sample Questions Pdf Free Download

Society Of Actuaries Casualty Actuarial Society Exam P Probability Exam P Sample Questions Pdf Free Download

Exam P Sample Question 191 Actuary

Exam P Sample Question 191 Actuary

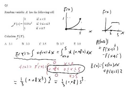
Soa Exam P Sample Question Youtube

Soa Exam P Sample Question Youtube

Soa Cas Exam P Sample Questions The Online Test Page

Soa Cas Exam P Sample Questions The Online Test Page

Answers To 10 Common Questions About Exam P Etched Actuarial

Answers To 10 Common Questions About Exam P Etched Actuarial

Answers To 10 Common Questions About Exam P Etched Actuarial

Questions 207 237 were added april 2015.

Sample actuary exam p questions. Questions 241 242 were added november 2015. Questions 243 326 were added september 2016. The procedure used to create the soa s actuarial exams from a large pool of items is sophisticated and takes into account different factors including overall exam difficulty and coverage of the learning objectives.

During a three year period an actuary makes the simplifying assumption that for all integers n 0 ppnn 1 1 5 where pn represents the probability that the policyholder files n claims during the period. Some of the questions have been reformatted from previous versions of this note. I all customers insure at least one car.

Questions 207 237 were added april 2015. Questions 156 206 were added january 2015. Welcome to the society of actuaries soa exam p probability sample exam.

Questions 238 240 were added may 2015. Iv of those customers who insure more than one car 15 insure a sports car. Questions 243 326 were added september 2016.

Page 5 of 138 9. Questions 154 155 were added in october 2014. Questions 241 242 were added november 2015.

A 0 04 b 0 16 c 0. Under this assumption what is the probability that a policyholder files more than one claim during the period. An insurance company examines its pool of auto insurance customers and gathers the following information.

Actuarial Study Group Exam P Question 4 Youtube

Actuarial Study Group Exam P Question 4 Youtube

Exam P Exercise For March 26 2018 Youtube

Exam P Exercise For March 26 2018 Youtube

Essentials Of Exam P Binomial Distribution Youtube

Essentials Of Exam P Binomial Distribution Youtube

Learn Practice Package For Soa Exam Ifm Analystprep

Learn Practice Package For Soa Exam Ifm Analystprep

Actuarial Soa Exam P Sample Question 120 Solution Youtube

Actuarial Soa Exam P Sample Question 120 Solution Youtube

Exam P My Actuarial Journey Harvey Wayne Nguyen

Exam P My Actuarial Journey Harvey Wayne Nguyen

Society Of Actuaries Exam P Probability Exam P Sample Questions Pdf Free Download

Society Of Actuaries Exam P Probability Exam P Sample Questions Pdf Free Download

Http Www Actexmadriver Com Assets Clientdocs Prod Preview Cbtpt Pdf

Http Www Actexmadriver Com Assets Clientdocs Prod Preview Cbtpt Pdf

Actuarial Soa Exam P Sample Question 204 Solution Youtube

Actuarial Soa Exam P Sample Question 204 Solution Youtube

Home Deeper Understanding

Home Deeper Understanding

Exam P Transformations Question Why Is The Cdf Pdf Of Max T1 T2 Never Used In Other Words What Does The First Sentence Even Tell Us Actuary

Exam P Transformations Question Why Is The Cdf Pdf Of Max T1 T2 Never Used In Other Words What Does The First Sentence Even Tell Us Actuary

Soa Cas Exam P Sample Solutions The Online Test Page

Soa Cas Exam P Sample Solutions The Online Test Page

Curso Preview Actex Online Course For Soa Exam P Preparation

Curso Preview Actex Online Course For Soa Exam P Preparation

Http People Stat Sc Edu Tebbs Stat511 Exam P Sample Questions Solutions Pdf

Http People Stat Sc Edu Tebbs Stat511 Exam P Sample Questions Solutions Pdf

Source : pinterest.com