Rbse Board Sample Paper Class 12 2020

Raj Board Model Paper 2020 Class 12th Rbse 12th Sample Paper Sample Paper Paper Class

Raj Board Model Paper 2020 Class 12th Rbse 12th Sample Paper Sample Paper Paper Class

Pin By Giovanni Silveira On Education In 2020 Class 12 Maths Algebra Equations Studying Math

Pin By Giovanni Silveira On Education In 2020 Class 12 Maths Algebra Equations Studying Math

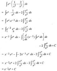
Rbse Solutions For Class 12 Maths Chapter 9 Integration Ex 9 2 In 2020 Class 12 Maths Studying Math Maths Solutions

Rbse Solutions For Class 12 Maths Chapter 9 Integration Ex 9 2 In 2020 Class 12 Maths Studying Math Maths Solutions

Rbse Solutions For Class 12 Maths Chapter 11 Application Of Integral Quadrature Ex 11 2 In 2020 Class 12 Maths Maths Ncert Solutions Studying Math

Rbse Solutions For Class 12 Maths Chapter 11 Application Of Integral Quadrature Ex 11 2 In 2020 Class 12 Maths Maths Ncert Solutions Studying Math

Pin By Julian On Net St In 2020 Economics Economics Textbook Solutions

Pin By Julian On Net St In 2020 Economics Economics Textbook Solutions

Pin By Julian On Net St In 2020 Economics Economics Textbook Solutions

As per the board of secondary education rajasthan ajmer class 10 and 12 board exams have been postponed until further notice.

Rbse board sample paper class 12 2020. Rajasthan board class 12th model papers 2019 2020. Had you completed your entire syllabus and waiting for ajmer board 12th. The rajasthan state board of secondary education ajmer has designed and published the rbse sr secondary question paper 2021 to the senior secondary course question paper for the state general vocational course student of class 11th 12th standard to arts science commerce stream hindi medium english medium urdu medium student studying at all government private colleges of the state.

The best way to do this is by solving rbse rajasthan board model papers and taking mock tests. Check last 5 to 10 years papers of rbse 12th board exams. This will also be helpful for those who will appear for rajasthan board class 12th exam next year.

Rajasthan load up rbse class 12 display question papers 2021 the board of secondary education rajasthan rbse will discharge the time table soon. Here you will get rbse 12 question papers of the year 2019 2018 2017 2016 2015 2014 2013 2012 2011 2010. Check model papers for rajasthan class 12 board exam 2020.

Rajasthan 12th class sample papers 2020 2021 for class 12 and marking scheme pdf free download in both hindi and english medium. Students are you searching rbse 12th class sample paper 2020 for going to participate in upcoming final exam 2020 are you preparing 12 class examination 2020 download rajasthan board 12th model paper 2020 for arts science commerce subject wise available this webpage. Students can download of 12th previous year question paper from the direct link below.

Students can check the detailed exam analysis for rbse 12th board english paper 2020. Rbse sample papers 2020 for class 12. Rajasthan 12th model paper 2020 2021 download at pdf check rbse class 12 previous question papers and rajasthan board 12th std question papers from below page.

This is the best time for students to boost their preparation and improve their scores. With the help of the exam analysis students can know the difficulty level of the paper. We the general population of kinidia has given the raj load up twelfth std question paper at the ideal time.

Rbse Solutions For Class 12 Maths Chapter 10 Definite Integral Ex 10 1 In 2020 Class 12 Maths Math 12th Maths

Rbse Solutions For Class 12 Maths Chapter 10 Definite Integral Ex 10 1 In 2020 Class 12 Maths Math 12th Maths

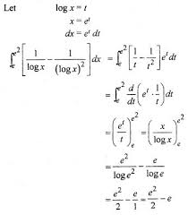
Rbse Solutions For Class 12 Maths Chapter 10 Definite Integral Ex 10 2 In 2020 Class 12 Maths Studying Math Math Formula Chart

Rbse Solutions For Class 12 Maths Chapter 10 Definite Integral Ex 10 2 In 2020 Class 12 Maths Studying Math Math Formula Chart

Rbse Solutions For Class 12 Maths Chapter 13 Vector Ex 13 5 In 2020 Class 12 Maths Studying Math 12th Maths

Rbse Solutions For Class 12 Maths Chapter 13 Vector Ex 13 5 In 2020 Class 12 Maths Studying Math 12th Maths

Rbse Class 12 English Poster Writing Rbsesolutionsclass12englishposterwriting English Posters Create Awareness Writing

Rbse Class 12 English Poster Writing Rbsesolutionsclass12englishposterwriting English Posters Create Awareness Writing

Rbse Solutions For Class 12 Maths Chapter 11 Application Of Integral Quadrature Ex 11 1 In 2020 Class 12 Maths Maths Solutions Learning Math

Rbse Solutions For Class 12 Maths Chapter 11 Application Of Integral Quadrature Ex 11 1 In 2020 Class 12 Maths Maths Solutions Learning Math

Rbse Class 12 English Poster Writing Rbseclass12posterwriting English Posters Writing 50 Words

Rbse Class 12 English Poster Writing Rbseclass12posterwriting English Posters Writing 50 Words

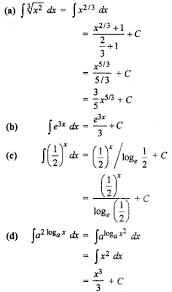
Rbse Solutions For Class 12 Maths Chapter 9 Integration Ex 9 6 In 2020 Class 12 Maths Studying Math Math Formula Chart

Rbse Solutions For Class 12 Maths Chapter 9 Integration Ex 9 6 In 2020 Class 12 Maths Studying Math Math Formula Chart

Rbse Solutions For Class 12 Maths Chapter 10 Definite Integral Ex 10 2 In 2020 Class 12 Maths Studying Math Math

Rbse Solutions For Class 12 Maths Chapter 10 Definite Integral Ex 10 2 In 2020 Class 12 Maths Studying Math Math

Rbse Solutions For Class 12 Maths Chapter 10 Definite Integral Ex 10 2 In 2020 Class 12 Maths Studying Math Math

Rbse Solutions For Class 12 Maths Chapter 10 Definite Integral Ex 10 2 In 2020 Class 12 Maths Studying Math Math

Rbse Board 12th Time Table 2020 Science Exam Schedule Private Government

Rbse Board 12th Time Table 2020 Science Exam Schedule Private Government

Pin By Ncert Solutions On Minnie Question Paper Previous Year Question Paper This Or That Questions

Pin By Ncert Solutions On Minnie Question Paper Previous Year Question Paper This Or That Questions

Cbse Class 11 Half Yearly Question Papers Business Studies Business Studies This Or That Questions Question Paper

Cbse Class 11 Half Yearly Question Papers Business Studies Business Studies This Or That Questions Question Paper

Source : pinterest.com