Maths Sample Papers For Class 10 Icse Board

Icse 2018 10th Class Mathematics Sample Question Paper Question Paper Sample Question Paper This Or That Questions

Icse 2018 10th Class Mathematics Sample Question Paper Question Paper Sample Question Paper This Or That Questions

Icse 2018 10th Class Mathematics Sample Question Paper Question Paper Sample Paper Sample Question Paper

Icse 2018 10th Class Mathematics Sample Question Paper Question Paper Sample Paper Sample Question Paper

Icse 2018 10th Class Mathematics Sample Question Paper Sample Question Paper This Or That Questions Question Paper

Icse 2018 10th Class Mathematics Sample Question Paper Sample Question Paper This Or That Questions Question Paper

Icse Class 10th Mathematics Solved Question Paper 2007 Question Paper This Or That Questions Previous Year Question Paper

Icse Class 10th Mathematics Solved Question Paper 2007 Question Paper This Or That Questions Previous Year Question Paper

Pin On Y

Pin On Y

Icse Maths Sample Papers Chapterwise Worksheets For Class 10 Workbook Guided Math Math

Icse Maths Sample Papers Chapterwise Worksheets For Class 10 Workbook Guided Math Math

Icse Maths Sample Papers Chapterwise Worksheets For Class 10 Workbook Guided Math Math

The board has reduced the syllabus for class 10 and 12 for the 2020 21 session.

Maths sample papers for class 10 icse board. As icse class 10th math exam is approaching you need better practice of previous year class 10 math question papers. Icse class 10 question papers maths also gives an insight into the question paper sections and mark distribution. The syllabus is divided into 8 units.

Here we have given specimen papers for icse 2020 with answers for class 10. Icse maths question papers for class 10 features. Practice them and score high in your exam.

Here are the question papers and some quick tips and points to remember in order to score well in your math examinations. The registration process for the board has now been concluded. Students can view or download the icse sample question papers 2020 solved class 10 for their upcoming examination these icse board sample papers or model papers are useful to understand the pattern of questions asked in the board exam.

Icse class 10 maths sample papers 2021. Icse class 10 and 12 sample papers 2021. Download free pdficse board class 10 and 12 exam 2021 will be conducted in the first week of march 2021.

This mathematics 2018 sample paper can help in the upcoming sessions. Icse class 10 maths school prelim question papers 2021. These icse class 10 maths previous 10 years board question papers with answers solutions are useful to understand the pattern of questions asked in the board exam.

The exam is of 80 marks and 20 marks are for internal assessment. Know about the important concepts to be prepared for icse class 10 board exam and score more marks. The sample papers cover important topics and are prepared.

Icse Previous Year Question Papers With Solutions Question Paper Math Questions This Or That Questions

Icse Previous Year Question Papers With Solutions Question Paper Math Questions This Or That Questions

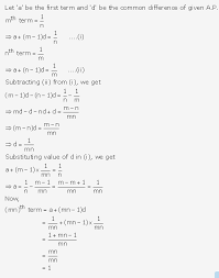
Selina Concise Mathematics Class 10 Icse Solutions Arithmetic Progression A Plus Topper Arithmeticprogression Arithmetic Progression Arithmetic Mathematics

Selina Concise Mathematics Class 10 Icse Solutions Arithmetic Progression A Plus Topper Arithmeticprogression Arithmetic Progression Arithmetic Mathematics

Icse Class 10 English Language Paper 1 Sample Paper 2020 2021 Aglasem Schools Good Vocabulary English Paper Sample Paper

Icse Class 10 English Language Paper 1 Sample Paper 2020 2021 Aglasem Schools Good Vocabulary English Paper Sample Paper

Icse Maths Question Paper 2018 Solved For Class 10 A Plus Topper Math Questions Question Paper This Or That Questions

Icse Maths Question Paper 2018 Solved For Class 10 A Plus Topper Math Questions Question Paper This Or That Questions

Cbse Class 10 Mathematics Qp With Solutions Part 1 Question Paper This Or That Questions Math Questions

Cbse Class 10 Mathematics Qp With Solutions Part 1 Question Paper This Or That Questions Math Questions

Icse 2005 Class 10th Computer Application Question Paper Question Paper Sample Question Paper This Or That Questions

Icse 2005 Class 10th Computer Application Question Paper Question Paper Sample Question Paper This Or That Questions

Cbse Solved Sample Papers For Class 9 Maths Sa2 Set A Aglasem Schools Sample Paper Math Me On A Map

Cbse Solved Sample Papers For Class 9 Maths Sa2 Set A Aglasem Schools Sample Paper Math Me On A Map

Selina Concise Mathematics Class 7 Icse Solutions Chapter 10 Simple Interest Cbse Tuts Studying Math Maths Solutions Mathematics

Selina Concise Mathematics Class 7 Icse Solutions Chapter 10 Simple Interest Cbse Tuts Studying Math Maths Solutions Mathematics

Icse Class 10 Chemistry Sample Paper Science Paper 2 Sample Paper Chemistry Paper Essay Examples

Icse Class 10 Chemistry Sample Paper Science Paper 2 Sample Paper Chemistry Paper Essay Examples

Cbse Class 10 Social Science Qp With Solutions Part 1 Question Paper Science Questions This Or That Questions

Cbse Class 10 Social Science Qp With Solutions Part 1 Question Paper Science Questions This Or That Questions

Icse Class 10th English Question Paper 2015 Short Essay Question Paper Paragraph Writing

Icse Class 10th English Question Paper 2015 Short Essay Question Paper Paragraph Writing

Selina Concise Mathematics Class 10 Icse Solutions Chapterwise Revision Exercises A Plus Topper Quadratics Quadratic Equation Number Line

Selina Concise Mathematics Class 10 Icse Solutions Chapterwise Revision Exercises A Plus Topper Quadratics Quadratic Equation Number Line

Cbse Sample Papers For Class 12 Maths Paper 1 A Plus Topper Maths Paper Class 12 Maths Sample Paper

Cbse Sample Papers For Class 12 Maths Paper 1 A Plus Topper Maths Paper Class 12 Maths Sample Paper

Icse Class 10 Biology Sample Paper Science Paper 3 Sample Paper Past Papers Paper

Icse Class 10 Biology Sample Paper Science Paper 3 Sample Paper Past Papers Paper

Source : pinterest.com