English Sample Papers For Class 8 Maharashtra State Board

8th Class Question Paper 2018 Download Eight Viii Class Exam English Maths Science Essay 1 Sa1 H Maths Paper This Or That Questions Model Question Paper

8th Class Question Paper 2018 Download Eight Viii Class Exam English Maths Science Essay 1 Sa1 H Maths Paper This Or That Questions Model Question Paper

Question Paper Mathematics And Statistics 2013 2014 H S C 12th Board Exam Maharashtra State Board Of Secondary A Question Paper Board Exam Past Exam Papers

Question Paper Mathematics And Statistics 2013 2014 H S C 12th Board Exam Maharashtra State Board Of Secondary A Question Paper Board Exam Past Exam Papers

Pin By Shaalaa Com On Hsc Maharastra State Board Question Paper This Or That Questions Economics

Pin By Shaalaa Com On Hsc Maharastra State Board Question Paper This Or That Questions Economics

Shaalaa Com Question Paper Board Exam Exam

Shaalaa Com Question Paper Board Exam Exam

Pin On 7

Pin On 7

Question Paper Physics 2016 2017 H S C 12th Board Exam Maharashtra State Board Msbs This Or That Questions Previous Year Question Paper Question Paper

Question Paper Physics 2016 2017 H S C 12th Board Exam Maharashtra State Board Msbs This Or That Questions Previous Year Question Paper Question Paper

Question Paper Physics 2016 2017 H S C 12th Board Exam Maharashtra State Board Msbs This Or That Questions Previous Year Question Paper Question Paper

Maharashtra 11th class model paper 2021 msbshse 11th class question paper 2021 pdf download मह र ष ट र 11व क ल स म ड ल प पर 2021 maharashtra 11th class sample paper 2021 msbshse 11th class imp question paper 2021 pdf download.

English sample papers for class 8 maharashtra state board. There are several olympiads organised by the science olympiad foundation sof such as imo nco nso and iso. Prepare for upcoming school test with mumbai s best teachers at mahesh tutorials with over 30 years of experience. Science is a subject in which a student can get full marks.

011 40705070 or call me purchase. Class 10 science sample paper 2021 maharashtra state board is available in this article for sss students. Download free sample papers of class 8 9 10 maharashtra state board now.

Maharashtra state board secondary and higher secondary education pune changed the class. Sample paper for 10th class set 1 english medium maharashtra board maharashtra state board of secondary and higher secondary education sample paper for 10th class set 1 english medium 2020 pdf download. Download maharashtra ssc question paper 2021 in pdf format for all subjects.

The central board of secondary education declared the class 10 board examinations results for 2017 on saturday. Maharashtra state board of secondary higher secondary education msbshse government agency is responsible will. Class 10th board exam paper 2020 maharashtra board english medium.

Ssc maharashtra board science sample question paper 2021 pdf created by science expert teacher for students in pdf form. The national level science talent search exam is organised by the unified council for students from classes 2 to 12 it is one of the most popular scholarship examinations conducted in india. Maharashtra class 8 sample papers for science class 8 sample papers for math class 8 sample papers for english class 8 sample papers for hindi class 8 sample papers for sanskrit.

Welcome to our educational website on this website we upload educational content like question papers solution board exam paper sample paper pattern in this post you will get maharashtra board 10th board exam paper 2020 english medium. Maharashtra ssc board question papers pdf 2021 for english medium are available to download online. Download free previous year maharashtra ssc board question papers pdf 2020 english medium.

Omtex Classes Geometry March 2017 Board Paper Set A Draw Diagram Paper Geometry

Omtex Classes Geometry March 2017 Board Paper Set A Draw Diagram Paper Geometry

Question Paper Hindi Composite 2016 2017 S S C Board Exam Maharashtra State Board Msbshse Question Paper Board Exam This Or That Questions

Question Paper Hindi Composite 2016 2017 S S C Board Exam Maharashtra State Board Msbshse Question Paper Board Exam This Or That Questions

Pin On Education

Pin On Education

Omtex Classes English Board Paper Ssc July 2017 Grammar And Vocabulary Question Paper Reading Skills

Omtex Classes English Board Paper Ssc July 2017 Grammar And Vocabulary Question Paper Reading Skills

Cbse Class 11 English Writting Grammar Posters 158 1 Https Www Cbsetuts Com Cbse Class 11 English Wr Writing Classes English Writing Skills Writing Skills

Cbse Class 11 English Writting Grammar Posters 158 1 Https Www Cbsetuts Com Cbse Class 11 English Wr Writing Classes English Writing Skills Writing Skills

Science Important March 2018 Board Paper Ssc 10th Standard Human Circulatory System March For Science Human Respiratory System

Science Important March 2018 Board Paper Ssc 10th Standard Human Circulatory System March For Science Human Respiratory System

Maharashtra State Board Books For Classes 12 11 10 9 8 7 6 5 4 3 2 1 Download Msbshse Textbooks Pdf Math Books Textbook Class 12 Maths

Maharashtra State Board Books For Classes 12 11 10 9 8 7 6 5 4 3 2 1 Download Msbshse Textbooks Pdf Math Books Textbook Class 12 Maths

Pin On Maharashtra Board Class 10 Maths Solutions

Pin On Maharashtra Board Class 10 Maths Solutions

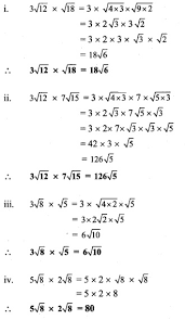
Maharashtra Board Class 9 Maths Solutions Chapter 2 Real Numbers Practice Set 2 3 Learn Cram Maharash Maths Solutions Algebraic Expressions Writing Numbers

Maharashtra Board Class 9 Maths Solutions Chapter 2 Real Numbers Practice Set 2 3 Learn Cram Maharash Maths Solutions Algebraic Expressions Writing Numbers

Mtse 2019 Syllabus Download Syllabus Exam Papers Exam

Mtse 2019 Syllabus Download Syllabus Exam Papers Exam

Hbse 12th Question Paper 2018 Haryana Board Previous Sample Papers Question Paper Sample Paper Exam Papers

Hbse 12th Question Paper 2018 Haryana Board Previous Sample Papers Question Paper Sample Paper Exam Papers

Omtex Classes Hsc Accounts Model Question Paper For Board Exam Model Question Paper Question Paper This Or That Questions

Omtex Classes Hsc Accounts Model Question Paper For Board Exam Model Question Paper Question Paper This Or That Questions

Std 12th Economics Smart Notes Commerce And Arts Maharashtra Board Books Maharashtra School Textbooks State Education Boards Textbooks And Study Guides Smart Note Economics Notes Economics

Std 12th Economics Smart Notes Commerce And Arts Maharashtra Board Books Maharashtra School Textbooks State Education Boards Textbooks And Study Guides Smart Note Economics Notes Economics

Source : pinterest.com