English Question Paper For Class 9 Maharashtra State Board

Maharashtra Hsc Board Exams Previous Year Question Papers Of Physics 2020 2021 Studychacha Question Paper Previous Year Question Paper This Or That Questions

Maharashtra Hsc Board Exams Previous Year Question Papers Of Physics 2020 2021 Studychacha Question Paper Previous Year Question Paper This Or That Questions

Omtex Classes Geometry March 2017 Board Paper Set A Draw Diagram Paper Geometry

Omtex Classes Geometry March 2017 Board Paper Set A Draw Diagram Paper Geometry

Omtex Classes English Board Paper Ssc July 2017 Grammar And Vocabulary Question Paper Reading Skills

Omtex Classes English Board Paper Ssc July 2017 Grammar And Vocabulary Question Paper Reading Skills

Question Paper Hindi Composite 2016 2017 S S C Board Exam Maharashtra State Board Msbshse Question Paper Board Exam This Or That Questions

Question Paper Hindi Composite 2016 2017 S S C Board Exam Maharashtra State Board Msbshse Question Paper Board Exam This Or That Questions

Previous Year Question Paper For Maharashtra Msbshse Hsc Board Class 12 English Code A 201 Question Paper This Or That Questions Previous Year Question Paper

Previous Year Question Paper For Maharashtra Msbshse Hsc Board Class 12 English Code A 201 Question Paper This Or That Questions Previous Year Question Paper

Question Paper Physics 2016 2017 H S C 12th Board Exam Maharashtra State Board Msbs This Or That Questions Previous Year Question Paper Question Paper

Question Paper Physics 2016 2017 H S C 12th Board Exam Maharashtra State Board Msbs This Or That Questions Previous Year Question Paper Question Paper

Question Paper Physics 2016 2017 H S C 12th Board Exam Maharashtra State Board Msbs This Or That Questions Previous Year Question Paper Question Paper

How would i get free maharashtra board textbooks.

English question paper for class 9 maharashtra state board. Maharastra state board class 1o english medium books. For full functionality of this site it is necessary to enable javascript. Maharashtra class 9 sample papers for science class 9 sample papers for math class 9 sample papers for english class 9 sample papers for hindi.

The maharashtra class 9 sample papers allow the students to have real time experience of the exam. 9th class question paper 2021. Faqs on maharashtra state board books.

You can get the maharashtra board textbooks for free of cost from our website. Students who are preparing for ixth class half yearly exams. Download free sample papers of class 8 9 10 maharashtra state board now.

Maharashtra msbshse previous year question paper class 10. So that you can prepare for all sort of questions. You can further filter question bank solutions by subjects and topics.

All question paper are converted into activity sheet. Indian state boards half yearly exams are likely to begin in the upcoming months. There is no chance for memory storing ratta to score more marks in class 9 marathi medium maharashtra board exams it is necessary to solve different type of activity sheet worksheet to improve your score.

To help such students here we are sharing all the last five years ix class question paper 2021. You can use these solutions to prepare for your studies and ace in exams. Class 9 maharashtra replace the question paper from 2017 18.

Omtex Classes Hsc English March 2015 Board Paper Class Syllabus Question Paper Guided Reading

Omtex Classes Hsc English March 2015 Board Paper Class Syllabus Question Paper Guided Reading

Maharashtra Board Class 9 Maths Solutions Chapter 2 Real Numbers Practice Set 2 3 Learn Cram Maharash Maths Solutions Algebraic Expressions Writing Numbers

Maharashtra Board Class 9 Maths Solutions Chapter 2 Real Numbers Practice Set 2 3 Learn Cram Maharash Maths Solutions Algebraic Expressions Writing Numbers

Maharashtra Board Class 9 Maths Solutions Chapter 2 Real Numbers Practice Set 2 4 Learn Cram Mah Maths Solutions Algebraic Expressions Mathematics Geometry

Maharashtra Board Class 9 Maths Solutions Chapter 2 Real Numbers Practice Set 2 4 Learn Cram Mah Maths Solutions Algebraic Expressions Mathematics Geometry

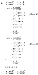
Maharashtra Board Class 9 Maths Solutions Chapter 3 Polynomials Practice Set 3 2 Learn Cram Maharashtrabo Maths Solutions Polynomials Algebraic Expressions

Maharashtra Board Class 9 Maths Solutions Chapter 3 Polynomials Practice Set 3 2 Learn Cram Maharashtrabo Maths Solutions Polynomials Algebraic Expressions

Objective And Mcqs For Class 9th English Here Are Important Mcqs For Class 9th English These Questions Ha English Grammar Book English Textbook Grammar Book

Objective And Mcqs For Class 9th English Here Are Important Mcqs For Class 9th English These Questions Ha English Grammar Book English Textbook Grammar Book

Question Paper Mathematics And Statistics 2013 2014 H S C 12th Board Exam Maharashtra State Board Of Secondary A Question Paper Board Exam Past Exam Papers

Question Paper Mathematics And Statistics 2013 2014 H S C 12th Board Exam Maharashtra State Board Of Secondary A Question Paper Board Exam Past Exam Papers

Pin On Education

Pin On Education

Question Paper Marathi 2018 2019 S S C Board Exam Maharashtra State Board Msbshse Wi Question Paper Model Question Paper Previous Year Question Paper

Question Paper Marathi 2018 2019 S S C Board Exam Maharashtra State Board Msbshse Wi Question Paper Model Question Paper Previous Year Question Paper

Maharashtra Board Class 9 Maths Solutions Chapter 4 Ratio And Proportion Problem Set 4 Learn Cram Maharashtraboardclass9ma Maths Solutions Problem Set Math

Maharashtra Board Class 9 Maths Solutions Chapter 4 Ratio And Proportion Problem Set 4 Learn Cram Maharashtraboardclass9ma Maths Solutions Problem Set Math

Maharashtra Board Class 9 Maths Solutions Chapter 1 Sets Practice Set 1 4 Learn Cram Maharashtraboardclass9maths Maths Solutions Math Algebraic Expressions

Maharashtra Board Class 9 Maths Solutions Chapter 1 Sets Practice Set 1 4 Learn Cram Maharashtraboardclass9maths Maths Solutions Math Algebraic Expressions

Maharashtra Board Class 9 Maths Solutions Chapter 7 Co Ordinate Geometry Practice Set 7 2 Learn Cram Maths Solutions Geometry Practice Algebraic Expressions

Maharashtra Board Class 9 Maths Solutions Chapter 7 Co Ordinate Geometry Practice Set 7 2 Learn Cram Maths Solutions Geometry Practice Algebraic Expressions

Maharashtra State Board Books For Classes 12 11 10 9 8 7 6 5 4 3 2 1 Download Msbshse Textbooks Pdf Math Books Textbook Class 12 Maths

Maharashtra State Board Books For Classes 12 11 10 9 8 7 6 5 4 3 2 1 Download Msbshse Textbooks Pdf Math Books Textbook Class 12 Maths

Pin On Education

Pin On Education

Maharashtra Board Class 9 Maths Solutions Chapter 1 Basic Concepts In Geometry Practice Set 1 2 Learn Cram Maths Solutions Geometry Practice Basic Concepts

Maharashtra Board Class 9 Maths Solutions Chapter 1 Basic Concepts In Geometry Practice Set 1 2 Learn Cram Maths Solutions Geometry Practice Basic Concepts

Source : pinterest.com