Bihar Board Sample Paper Class 12 2020

Bihar Board 12th Science Model Paper 2020 Download Latest Chemistry Lessons Science Models Science Questions

Bihar Board 12th Science Model Paper 2020 Download Latest Chemistry Lessons Science Models Science Questions

Bseb Inter Model Question Papers 2020 In Hindi Model Question Paper Question Paper This Or That Questions

Bseb Inter Model Question Papers 2020 In Hindi Model Question Paper Question Paper This Or That Questions

Omr Sheet Bseb Patna Model Question Paper Exam Papers Question Paper

Omr Sheet Bseb Patna Model Question Paper Exam Papers Question Paper

Mp Board Class 12th Question Paper 2020 Question Paper This Or That Questions Model Question Paper

Mp Board Class 12th Question Paper 2020 Question Paper This Or That Questions Model Question Paper

Bihar Matric Registration Form 2020 Steps To Register Registration Fee Examination Board Registration Form Online Registration Form

Bihar Matric Registration Form 2020 Steps To Register Registration Fee Examination Board Registration Form Online Registration Form

Mp Board 10th Question Papers For 2019 2020 Exam Question Paper This Or That Questions Model Question Paper

Mp Board 10th Question Papers For 2019 2020 Exam Question Paper This Or That Questions Model Question Paper

Mp Board 10th Question Papers For 2019 2020 Exam Question Paper This Or That Questions Model Question Paper

Bihar bseb board class 12th sample paper 2020.

Bihar board sample paper class 12 2020. Download inter model question papers of all subjects in pdf format. Also check previous year model papers examination schedule and other necessary details. The bihar school examination board patna has announced the bseb intermediate question paper 2021 pdf for both arts science commerce stream general vocational course student for theory objective type question mcq with blueprint to hindi medium english medium urdu medium student studying at all government private colleges of the state.

The board of school examination board bseb 12th class recent sample papers year 2020 download for march 2020 via mock test papers with arts science commerce blueprint old model papers set wise study materials and e textbooks etc. Bihar board 12th physics model question papers 2020 2021 with answers may 8 2020 april 28 2020 by veerendra bihar board 12th intermediate physics model question papers sample papers 2019 2020 2021 with answers pdf free download in hindi medium and english medium. Bihar board 12th model question paper 2021 bseb 12th class sample paper 2021bseb 12th science group for subjects wise physics chemistry biology model guess paper 2021 exam bihar school education board bseb exam department has uploaded xiith class practise model question paper for main exam 2021 bihar board 12th class science model question paper 2021 download.

Benefits of class 12 model question papers 2020. Bseb bihar board 12th model paper of maths english biology chemistry physics accountancy for students preparing for class 12 bihar board exam 2020. Bihar board class 12 model papers 2020.

For the bihar board exam 2020 preparation all subject s model papers are released in an online manner so that students can have a rough idea about the exam pattern. Bihar board 12th biology model question papers 2020 2021 with answers may 10 2020 april 28 2020 by veerendra bihar board 12th intermediate biology model question papers sample papers 2019 2020 2021 with answers pdf free download in hindi medium and english medium. These papers are setup framed accordingly their respective subjects and syllabus candidates can download their subject wise pdf files it will be beneficial for their class 12 th board.

The model question paper is the best study material for the students. For the 2020 board exam the 12th class sample model question papers were released by the bseb the bihar school education board. Free pdf download latest bihar board sample paper 2020 and experience real exam at home.

Bihar board 12th class model question paper 2019 2020 bihar board inter sample paper 2019. In a recent notification bihar school education board has uploaded the sample papers for the students appearing in class 12 th for their board examination 2020.

Previous Year Solved Question Paper Of Information Technology 402 Class X Cbse Board Question P Question Paper This Or That Questions Information Technology

Previous Year Solved Question Paper Of Information Technology 402 Class X Cbse Board Question P Question Paper This Or That Questions Information Technology

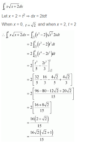
Ncert Solutions For Class 12 Maths Chapter 7 Integrals 2019 20 Session In 2020 Class 12 Maths Math Notes Math

Ncert Solutions For Class 12 Maths Chapter 7 Integrals 2019 20 Session In 2020 Class 12 Maths Math Notes Math

Ncert Solutions For Class 12 Maths Chapter 7 Integrals 2019 20 Session In 2020 Class 12 Maths Math Notes Math

Ncert Solutions For Class 12 Maths Chapter 7 Integrals 2019 20 Session In 2020 Class 12 Maths Math Notes Math

Ncert Solutions For Class 12 Maths Chapter 7 Integrals 2019 20 Session In 2020 Class 12 Maths 12th Maths Math

Ncert Solutions For Class 12 Maths Chapter 7 Integrals 2019 20 Session In 2020 Class 12 Maths 12th Maths Math

Ncert Solutions For Class 12 Maths Chapter 7 Integrals 2019 20 Session In 2020 Class 12 Maths Math Notes Math

Ncert Solutions For Class 12 Maths Chapter 7 Integrals 2019 20 Session In 2020 Class 12 Maths Math Notes Math

Ncert Solutions For Class 12 Maths Chapter 7 Integrals 2019 20 Session In 2020 Class 12 Maths 12th Maths Math

Ncert Solutions For Class 12 Maths Chapter 7 Integrals 2019 20 Session In 2020 Class 12 Maths 12th Maths Math

Ncert Solutions For Class 12 Maths Chapter 7 Integrals 2019 20 Session In 2020 Class 12 Maths Math 12th Maths

Ncert Solutions For Class 12 Maths Chapter 7 Integrals 2019 20 Session In 2020 Class 12 Maths Math 12th Maths

Ncert Solutions For Class 12 Maths Chapter 7 Integrals 2019 20 Session In 2020 Class 12 Maths Math Notes Math

Ncert Solutions For Class 12 Maths Chapter 7 Integrals 2019 20 Session In 2020 Class 12 Maths Math Notes Math

10th Class Math Objective Questions In Hindi Math Objective This Or That Questions Math

10th Class Math Objective Questions In Hindi Math Objective This Or That Questions Math

Ncert Solutions For Class 12 Maths Chapter 7 Integrals 2019 20 Session In 2020 Class 12 Maths Math Notes Math

Ncert Solutions For Class 12 Maths Chapter 7 Integrals 2019 20 Session In 2020 Class 12 Maths Math Notes Math

Ncert Solutions For Class 12 Maths Chapter 7 Integrals 2019 20 Session In 2020 Math Notes Class 12 Maths Math

Ncert Solutions For Class 12 Maths Chapter 7 Integrals 2019 20 Session In 2020 Math Notes Class 12 Maths Math

Ncert Solutions For Class 12 Maths Chapter 7 Integrals 2019 20 Session In 2020 Class 12 Maths 12th Maths Math

Ncert Solutions For Class 12 Maths Chapter 7 Integrals 2019 20 Session In 2020 Class 12 Maths 12th Maths Math

Ncert Solutions For Class 12 Maths Chapter 7 Integrals 2019 20 Session In 2020 Class 12 Maths Math Notes Math

Ncert Solutions For Class 12 Maths Chapter 7 Integrals 2019 20 Session In 2020 Class 12 Maths Math Notes Math

Ncert Solutions For Class 12 Maths Chapter 7 Integrals 2019 20 Session In 2020 Class 12 Maths 12th Maths Math

Ncert Solutions For Class 12 Maths Chapter 7 Integrals 2019 20 Session In 2020 Class 12 Maths 12th Maths Math

Source : pinterest.com