Bihar Board Sample Paper 2020 Class 12th

Bihar Board 12th Science Model Paper 2020 Download Latest Chemistry Lessons Science Models Science Questions

Bihar Board 12th Science Model Paper 2020 Download Latest Chemistry Lessons Science Models Science Questions

Bseb Inter Model Question Papers 2020 In Hindi Model Question Paper Question Paper This Or That Questions

Bseb Inter Model Question Papers 2020 In Hindi Model Question Paper Question Paper This Or That Questions

Mp Board Class 12th Question Paper 2020 Question Paper This Or That Questions Model Question Paper

Mp Board Class 12th Question Paper 2020 Question Paper This Or That Questions Model Question Paper

Omr Sheet Bseb Patna Model Question Paper Exam Papers Question Paper

Omr Sheet Bseb Patna Model Question Paper Exam Papers Question Paper

Mp Board 10th Question Papers For 2019 2020 Exam Question Paper This Or That Questions Model Question Paper

Mp Board 10th Question Papers For 2019 2020 Exam Question Paper This Or That Questions Model Question Paper

Bihar Matric Registration Form 2020 Steps To Register Registration Fee Examination Board Registration Form Online Registration Form

Bihar Matric Registration Form 2020 Steps To Register Registration Fee Examination Board Registration Form Online Registration Form

Bihar Matric Registration Form 2020 Steps To Register Registration Fee Examination Board Registration Form Online Registration Form

Bihar board 12th model question paper 2021 bseb 12th class sample paper 2021bseb 12th science group for subjects wise physics chemistry biology model guess paper 2021 exam bihar school education board bseb exam department has uploaded xiith class practise model question paper for main exam 2021 bihar board 12th class science model question paper 2021 download.

Bihar board sample paper 2020 class 12th. They are prepared as the same format as the bihar board previous year question paper 12th. Bihar board has released the class 12th model question paper 2021 all subjects are upload at official online portal to give students an overview of the bihar board class 12 blueprint 2021 students will not only get acquainted with the previous question paper design but also get an idea about the nature and type of questions expected in the upcoming final exam. It helps in having a quick revision of the entire curriculum.

Benefits of class 12 model question papers 2020. Students can also get to know the bihar board 12th exam pattern 2020 from the previous year paper. Students can download the question papers by clicking on the given links on this.

Bihar board 12th model paper 2021. Bseb bihar board 12th model paper of maths english biology chemistry physics accountancy for students preparing for class 12 bihar board exam 2020. Bihar board class 12 model papers 2020.

The subject experts of bihar patna board has. In order to be best prepared to handle the bihar board 12th exams it is compulsory that every student practice as many bihar board 12th question papers as possible to study and revise all the question paper for bihar intermediate exam 2018. Bihar board class 12 question paper solving technique while solving the previous year question papers pay close attention to the way marks are allocated to each section.

Download bseb 12th sample paper 2020 online at biharboardonline bihar gov in. Also check previous year model papers examination schedule and other necessary details. Bseb class 12 sample papers are the actual previous year question papers that can be used by candidates to know the type of questions that will be asked in the exam weightage of chapters from the given syllabus of bihar board class 12 marking scheme duration etc.

Free pdf download latest bihar board sample paper 2020 and experience real exam at home. The bihar school examination board patna has announced the bseb intermediate question paper 2021 pdf for both arts science commerce stream general vocational course student for theory objective type question mcq with blueprint to hindi medium english medium urdu medium student studying at all government private colleges of the state.

Online Mp Board Class 12th Blue Print Model Papers 2021 Model Question Paper Question Paper Print Models

Online Mp Board Class 12th Blue Print Model Papers 2021 Model Question Paper Question Paper Print Models

10th Class Math Objective Questions In Hindi Math Objective This Or That Questions Math

10th Class Math Objective Questions In Hindi Math Objective This Or That Questions Math

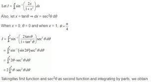
Ncert Solutions For Class 12 Maths Chapter 7 Integrals 2019 20 Session In 2020 Class 12 Maths Math Notes Math

Ncert Solutions For Class 12 Maths Chapter 7 Integrals 2019 20 Session In 2020 Class 12 Maths Math Notes Math

Mp Board 10 Class Date Sheet 2020 Time Table Download In Hindi Board Exam Exam Class

Mp Board 10 Class Date Sheet 2020 Time Table Download In Hindi Board Exam Exam Class

Ncert Solutions For Class 12 Maths Chapter 7 Integrals 2019 20 Session In 2020 Class 12 Maths Math Notes Math

Ncert Solutions For Class 12 Maths Chapter 7 Integrals 2019 20 Session In 2020 Class 12 Maths Math Notes Math

Jac Board Question Paper 2020 Class 10th All Subject Question Paper Sample Question Paper Model Question Paper

Jac Board Question Paper 2020 Class 10th All Subject Question Paper Sample Question Paper Model Question Paper

Jac Board Class 10th English Notes Pdf Up Board Bihar Board This Or That Questions Notes Class

Jac Board Class 10th English Notes Pdf Up Board Bihar Board This Or That Questions Notes Class

Previous Year Solved Question Paper Of Information Technology 402 Class X Cbse Board Question P Question Paper This Or That Questions Information Technology

Previous Year Solved Question Paper Of Information Technology 402 Class X Cbse Board Question P Question Paper This Or That Questions Information Technology

Pin By Safiacbse On Previous Year Question Papers Class 12 Maths Previous Year Question Paper Math

Pin By Safiacbse On Previous Year Question Papers Class 12 Maths Previous Year Question Paper Math

Ncert Solutions For Class 12 Maths Chapter 7 Integrals 2019 20 Session In 2020 Class 12 Maths 12th Maths Math

Ncert Solutions For Class 12 Maths Chapter 7 Integrals 2019 20 Session In 2020 Class 12 Maths 12th Maths Math

Ncert Solutions For Class 12 Maths Chapter 7 Integrals 2019 20 Session In 2020 Math Notes Class 12 Maths Math

Ncert Solutions For Class 12 Maths Chapter 7 Integrals 2019 20 Session In 2020 Math Notes Class 12 Maths Math

Ncert Solutions For Class 12 Maths Chapter 7 Integrals 2019 20 Session In 2020 Class 12 Maths 12th Maths Math

Ncert Solutions For Class 12 Maths Chapter 7 Integrals 2019 20 Session In 2020 Class 12 Maths 12th Maths Math

Ncert Solutions For Class 12 Maths Chapter 7 Integrals 2019 20 Session In 2020 Class 12 Maths Math Notes Math

Ncert Solutions For Class 12 Maths Chapter 7 Integrals 2019 20 Session In 2020 Class 12 Maths Math Notes Math

Source : pinterest.com